Throughout the Covid-19 pandemic in India, there has been stigmatisation of patients and their families, and discriminatory attitudes towards marginalised groups as well as frontline workers. Based on an experiment conducted in Uttar Pradesh during June-August 2020, this article shows that providing reliable and focussed information on the transmission of the Virus can play an important role in addressing associated misconceptions, stress, and stigma.
The tremors of the Covid-19 pandemic have been felt far and wide, affecting both developed and less developed countries across the globe. While the direct negative impact of the pandemic in terms of loss of lives and livelihoods has received a lot of attention from policymakers and researchers (Altig et al. 2020, Barro et al. 2020), some other serious aspects have been less visible. One such effect is the stigmatisation of patients and their families (Bagcchi 2020, Chandrasekhar 2020) and the discriminatory attitudes towards certain marginalised groups (based on religion, caste, and income) as well as critical frontline workers.
Pandemics have a long history of leading to the stigmatisation of patients and of certain groups and communities that are perceived to have high infection rates – leprosy, cholera, and more recently, HIV-AIDS being leading examples (Cohn 2018, Jedwab et al. 2020). So when faced with a new infectious disease such as Covid-19, about which we know very little, the question that looms large is whether people propagate the practice of scapegoating others, especially those who are historically ostracised in society. Such stigmatisation and discrimination is largely driven by misinformation and stress related to the transmission of Covid-19. The provision of accurate and focussed information about the Virus from a reliable source may help address the issue, and enhance overall well-being.
Stigma and misconceptions during the Covid-19 pandemic in India
The Covid-19 outbreak exacerbated tensions that were already prevalent among different religious and caste groups in India – which has a long history of social segregation and conflict. There have been several reports of stigmatisation, discrimination, and targetted attacks in the media over the past year. For example, misinformation about Covid-19 spreading from dead bodies resulted in non-Hindu doctors and patients being denied dignified burials. Muslims were reportedly blamed, threatened and attacking for spreading the Virus after the Tablighi Jamaat event in Delhi in March 2020. There were also instances of healthcare workers being attacked and asked to vacate their rented apartments due to the fear of contraction. Thus, vulnerable and marginalised groups who already suffer disproportionately, and frontline workers who have been indispensible in the battle against the disease, faced significant stigmatisation and discrimination during the Covid-19 pandemic.
Our study
We study 2,138 households from Kanpur in the state of Uttar Pradesh (UP), to assess whether the provision of accurate and focussed information about Covid-19 from a reliable source can improve knowledge and reduce stigmatisation and discrimination (Islam et al. 2020). The study participants are representative of the average socioeconomic and demographic characteristics of the population of UP. Our rationale for conducting the experiment in UP is that it is the state with the largest number of communal violence incidents, and highest share of atrocities against the Scheduled Caste population in India.
The fieldwork was undertaken by a research team from the Indian Institute of Technology (IIT), Kanpur – a reputed educational institution – during June-August 2020. The team comprised individuals who were from the same community as those surveyed, and spoke the local language. These factors helped ensure that the participants consider the information being provided as reliable.
About half of the sample was randomly selected (‘treatment’ group) to receive an information brief over the phone from trained personnel, while the other half of the sample (‘control’ group) did not receive such a phone call.1 Baseline and endline (follow-up surveys) were conducted for all participants.
The brief was carefully designed following WHO (World Health Organization) guidelines as well as national directives. The brief contained: (i) guidelines on the transmission and prevention of Covid-19, (ii) information to dispel any misconceptions related to the spread of the disease via any particular religious and social groups, (iii) role of frontline workers in the fight against the disease, and (iv) infection rates vis-à-vis socio-demographic characteristics for selected states,2 to demonstrate that states with higher concentraion of lower caste/religious minorities do not necessarily have higher Covid-19 spread – with the ultimate aim of reducing people’s tendency to target or stigmatise anyone based on their social identity.
Information brief reduced stigma and improved knowledge, behaviour, and health
The results show that relative to the control group, participants who receive the information brief: (i) have improved knowledge about the prevention and transmission of Covid-19; (ii) are less likely to believe that infection cases are more prevalent among certain groups (for example, beliefs among Hindus regarding Muslims, upper castes and low castes, rich versus poor population); (iii) demonstrate reduced stigmatisation of Covid-19 patients, frontline workers (healthcare workers, sanitary workers, and the police), and marginalised groups such as religious minorities and low castes; (iv) report greater compliance with social distancing measures; and (v) report better physical and mental health, in the follow-up survey.
The effect size of the reduction in stigmatisation among those who received the information brief, is at least 50% over those who did not receive the brief (Figure 1A). For example, in the follow-up survey, participants in the control group agreed that frontline workers and foreigners were responsible for spreading Covid-19 (their average agreement level is of 4 out 5), while the participants in the treatment group disagreed that frontline workers and foreigners were responsible for spreading Covid-19 (their average agreement level is 2 out of 5). The effect size is similarly large in improving the perception of the respondents towards those outside of their social groups such as low caste, muslims, and the poor (Figure 1B).
Figure 1. The impact of the information brief on attitudes towards others

Notes: (i) Each belief measures the perception respondents have about a stigmatised group in spreading Covid-19 on a scale of 1 to 5. (ii) The stigmatisation index measures stigma against Covid-19 patients and their family members on a scale of 5 to 25. (iii) In panel A, the sample includes all respondents. In panel B, the sample of respondents differs by stigmatised group, where the horizontal axis indicates each of the stigmatised outgroups. For example, ‘Backward’ indicates the belief that the sample of ‘General’ caste respondents have about backward caste individuals in spreading Covid-19. (iv) 95% confidence intervals3 are reported for the treatment group to show the statistical significance of the treatment effects.

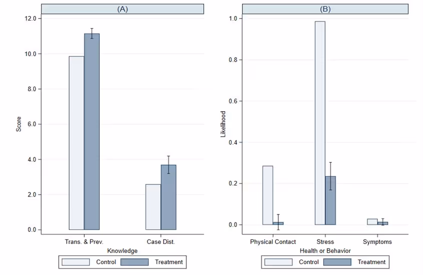
The information brief was also effective in improving knowledge, increasing adherence to social distancing rules, reducing stress, and alleviating incidence of Covid-19 symptoms. Those who were provided the information reported a 13% improvement in knowledge about transmission and prevention of Covid-19; 42% improvement in knowledge about the geographic distribution of case infection in India; 27% lower likelihood of having physical contact with friends or relatives in the past one week; 76% reduction in the incidence of perceived stress; and 50% reduction in likelihood of having any Covid-19 symptoms. There is also suggestive evidence that the lack of knowledge about Covid-19 and the presence of stress are important underlying causes of stigma toward Covid-19 patients; people from other caste and religious groups; and frontline workers.
Figure 2. The impact of the information brief on knowledge, behaviour, and health

Notes: (i) Panel A reports the scores for knowledge about transmission and prevention of Covid-19, which range between 0 and 12, and the score for knowledge about case infection distribution for selected states, which range between 0 and 6. (ii) In panel B, the physical contact variable takes the value of one, if there was a direct meeting with friends/relatives in the past one week; the likelihood of respondents feeling stressed takes the value of one if their Perceived Stress Scale (PSS) is greater than the average of 14, and zero otherwise; and the Covid-19 symptoms variable takes the value of one if any of the primary Covid-19 symptoms (dry cough, fever, fatigue, new loss of sense of smell/taste, and shortness of breath) are reported. (iii) 95% confidence intervals are reported for the treatment group to show the statistical significance of the treatment effects.

Policy implications
Given the long history of social conflicts in India, misinformation and ignorance about a new infectious disease and the associated stress, can further exacerbate the existing tension between different economic, religious, and caste groups. It is important that more targetted measures are implemented at the earliest to eliminate misinformation and reduce stress and stigma so as to improve the well-being of the most vulnerable religious and caste groups, who also tend to suffer disproportionately due to the Covid-19 crisis. We provide a blueprint in this direction and shed light on policy responses that are useful for countering stigma and misinformation that can result in widespread discrimination over and above the negative effects of the disease on health and the economy. Given the relatively low costs of a 10-minute phone call, the resulting benefits of the intervention in reducing social conflicts and improving health and well-being are well warranted.
I4I is now on Telegram. Please click here (@Ideas4India) to subscribe to our channel for quick updates on our content.
Notes:
- Participants were spread across 40 populated localities. Since the intervention was implemented during lockdown, we do not expect information ‘spillovers’ from the ‘treatment’ to the ‘control’ group.
- The states are Tamil Nadu, West Bengal, Gujarat, Bihar, and Maharashtra.
- A 95% confidence interval is a way of expressing uncertainty about estimated effects. Specifically, it means that if you were to repeat the experiment over and over with new samples, 95% of the time the calculated confidence interval would contain the true effect.
Further Reading
- Altig, Dave, Scott Baker, Jose Maria Barrero, Nicholas Bloom, Philip Bunne, Scarlet Chen, Steven J Davis, Julia Leather, Brent Meyer, Emil Mihaylov, Paul Mizen, Nicholas Parker, Thomas Renault, Pawel Smietanka, Gregory Thwaites (2020), “Economic uncertainty before and during the COVID-19 pandemic”, Journal of Public Economics, 191: 104274.
- Bagcchi, Sanjeet (2020), “Stigma during the COVID-19 pandemic”, The Lancet Infectious Diseases, 20(7): 782. Available here.
- Barro, RJ, JF Ursúa and J Weng (2020), ‘The Coronavirus and the Great Influenza Pandemic: Lessons from the “Spanish Flu” for the Coronavirus’s Potential Effects on Mortality and Economic Activity’, NBER Working Paper No. w26866.
- Chandrashekhar, Vaishnavi (2020), “The burden of stigma”, Science, 369(6510): 1419-1423.
- Cohn Jr, SK (2018), Epidemics: Hate and Compassion from the Plague of Athens to AIDS, Oxford University Press.
- Islam, A, D Pakrashi, M Vlassopoulos and LC Wang (2020), ‘Stigma and Misconception in the time of COVID-19 Pandemic: A Field Experiment in India’, IZA (Institute of Labor Economics) Discussion Paper No. 13995.
- Jedwab, R, AM Khan, R Damania, J Russa and ED Zaveri (2020), ‘Pandemics, poverty, and social cohesion: lessons from the past and possible scenarios for COVID-19’, Institute for International Economic Policy Working Paper 2020-13.




































































