This column describes an ongoing study that analyses data from Delhi’s labour-intensive garment factories to explore the relationship between trust among workers and productivity. Using the strength of pre-existing social ties among workers as proxy for the value of trust, it finds that being socially connected has significant implications for worker productivity.
Tweet using #productivity
"Google has discovered the five key traits employees need to succeed: an Ivy League degree isn't as important as trust" (Huffington Post, 2015).
The garment manufacturing sector
The Economic Survey of India (2012-13) suggests that low worker productivity is primarily to blame for Indian manufacturing sector’s stagnant contribution to GDP (gross domestic product) – 16 % since the 1960s – significantly lower than in other low- and middle-income countries (over 20%; World Bank, 2013). In an ongoing study we (Afridi et al. 2018) draw on India’s labour-intensive textile industry, specifically, garment manufacturing. With 45 million workers (2016-17), it is amongst the largest employers in manufacturing, making it a key industry for growth with employment generation. Garment manufacturing, in particular, has seen significant growth, contributing to almost 50% of the exports from this industry in 2016-17. This sector thus provides a natural choice for advancing our understanding of worker performance in the Indian context.
Assembly line production
Garment production entails strong complementarities in worker effort. In a typical garment factory, production is organised into assembly lines (an assembly line is like a team). Often these lines have 50-70 workers who can be classified into operators – those who sit on sewing machines and are responsible for stitching different parts of a garment. Each worker is allotted a machine and is responsible for performing at least one operation, for instance, stitching the collar. Multiple workers perform across operations in the assembly line, thus simultaneously producing different pieces of a garment – for example, while one worker produces collars, another stitches the cuffs of a shirt, another stitches the buttons, and so on. With each operation, a part of the garment is made. Pieces of the garment are then assembled to produce the entire apparel, that is, a shirt.
In such a setting, if some workers put in too little effort it can lead to the entire team being trapped in a low-effort equilibrium, even when team-based financial incentives are provided. A worker has no incentive to work harder than what s/he expects the output of the slowest worker to be. Social ties among co-workers, therefore, can be particularly important when workers are organised in groups, and when firms are concerned with group rather than individual output.
Pre-existing social connections
Anthropological studies (for example, Holmstrom 1984) suggest that a large fraction of low-skilled workers in manufacturing units located in urban areas in India (and other developing countries) are rural migrants. For example, survey data from garment manufacturing units located around India’s capital indicate that more than 80% of the workforce consists of migrants from rural areas of neighbouring states. Chandavakar (1994) notes that historically migration to industrial hubs occurred within the framework of caste, kinship, and village connections in India. Migrants to the city lived with their co-villagers, caste-fellows, and relatives and sought work with their assistance (for example, Gokhale 1957). While caste and kinship formed indivisible social networks in the city’s working-class neighbourhoods as industrailisation progressed, social networks continue to play a significant role in the functioning of labour markets (Afridi et al. 2015) and in ensuring migrants’ economic mobility in the modern age (Munshi 2014). Migrants tend to find employment through referrals from their caste-based networks and hence often locate within the same work and residential units post migration.
In the context of India, where social networks are very strong (Munshi 2014), the question of how social connections affect productivity can be key to the development process. Munshi (2014) notes that members of social networks may respond to the threat of social sanctions by sacrificing individual gains in favour of group objectives. Individuals may feel more altruistic towards group members, or trust co-workers with whom they are socially connected (Basu 2007), resulting in greater cooperative behaviour when they are matched with workers with similar social background.
Study design
Based on the above social context our study proceeds in two ways. First, we use quasi-random variation in the assignment of workers to assembly lines in garment factories along with data on daily worker-level productivity to estimate the impact of co-workers’ caste proximity to co-workers in the assembly line on individual- and line-level output under a fixed wage contract.
Second, in order to understand whether the impacts we observe under a fixed-wage system prevail when financial incentives are contingent on group performance, we randomly assign subjects to teams with or without real, pre-existing social ties (based on shared caste and co-residence) in an incentivised coordination task (beading wires to make a bracelet) in a lab-in-the field experiment. Our study design is suited to contexts where workers simultaneously engage in a production task and may not be able to observe each other’s effort or coordinate on output, such as a typical garment factory assembly line. We, therefore, eliminate peer effects or possible communication among team members in order to identify purely the impact of social connectedeness on individual and group productivity. We also separate the lab sessions by gender to not only account for any differences in behavioural response to external stimuli and incentives by men and women, extensively documented in the laboratory experiments literature (for example, Croson and Gneezy 2008), but also address gender differences on observable characteristics such as experience and education in blue-collar jobs.
Social connections among workers enhance productivity and coordination
Using data on productivity from garment factories in the National Capital Region (Delhi) gathered by us and taking advantage of idiosyncratic variation in the daily caste composition of assembly lines due to worker absenteeism, we find that having a 1% higher proportion of co-workers from the worker’s own caste group in the assembly line on a work day is associated with approximately 2% higher productivity of the assembly line on that day. This relationship is depicted in Figure 1. It suggests that pre-existing social connections amongst co-workers, mediated through caste, can have a significant impact on productivity.
The above finding prevails in our controlled lab-in-the-field experiment with group contingent payments – being in a socially connected group increases group output by 15%, which leads to higher group output and reduces dispersion in individual output by more than 30%. These results are driven by men and suggest that stronger social connections among co-workers can enhance both effort by individual members and coordination, when incentives are group-based. Since we eliminated peer effects and did not allow for any communication within group members in our experiment design, the estimates we obtain here may be a lower bound on the impact of social connections on individual and group productivity in our context.
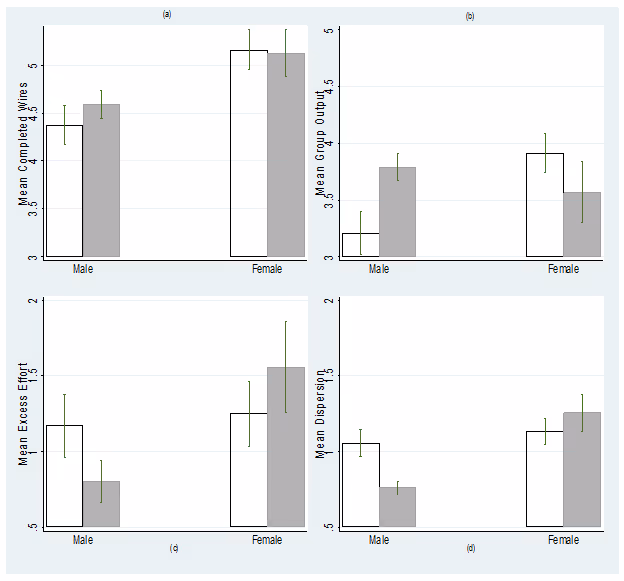
Interestingly, women’s effort is high across both socially connected and unconnected groups relative to men’s, and women show no overall response to being in a socially connected group. Results from additional experiments and data from real-world factory settings to disentangle competing explanations of the observed gender differences suggests a ceiling effect – women’s productivity was high to begin with, resulting in insignificant marginal effect of being socially connected (see Figure 2).
Figure 1. Caste concentration and line-level efficiency

Note: Authors’ worker survey and productivity data from garment factories in Delhi – National Capital Region during September-October 2015. Caste concentration index=∑ci , that is, sum of square of share of each caste group (Scheduled Caste/Scheduled Tribe, Other Backward Castes, or high caste) in an assembly line on a day. Line efficiency is the proportion of target output reached (averaged over all workers in the line) on a day.

Figure 2. Effort and coordination by group composition and gender

Our findings also suggest that social and financial incentives complement each other, unlike previous research (for example, Bandiera et al. 2009, Hjort 2014). Team-based monetary incentives interact positively with group composition, indicating that not only do workers increase coordination in response to being socially connected, but that they coordinate on a higher level of effort.
We show theoretically that our results can be explained by pro-social preferences of a worker towards co-workers with whom s/he has social ties. When peer effects and communication channels are absent we claim that the mechanism underlying our results is mutual trust whereby connected groups believe that their team members care about the group sufficiently to be willing to put in higher effort even at higher personal cost to themselves. This, together with more precise knowledge of team member’s abilities, helps to coordinate on the ‘right’ level of effort.
Implications for personnel management within the factory
Our study proxies the value of trust by the strength of pre-existing social ties among workers in garment factories in India and shows that indeed, being socially connected has significant implications for productivity of workers. While firms, like Google, at the upper end of the international productivity distribution have discovered the importance of trust among employees and deliberately set policies to engender trust among co-workers, managements in India (and other developing countries) are yet to devise policies that foster co-worker affinity. Our survey data suggest that a typical garment factory worker has barely two co-workers who they can call a ‘friend’. Stressful work hours with little time for socialisation inhibits building social connections among co-workers. These finding highlight the potential role of personnel management in creating avenues for worker interactions to foster co-worker affinity within firms. In particular, we emphasise that financial incentives can have a multiplier effect when combined with co-worker affinity.
Further Reading
- Afridi, F, A Dhillon, S Xin Li and S Sharma (2018), ‘Social Connections and Financial Incentives: A Quasi Field Experiment in India’s Manufacturing Sector’, Working paper.
- Afridi, Farzana, Amrita Dhillon and Swati Sharma (2015), “Social Networks and Labour Productivity: A Survey of Recent Theory and Evidence”, Indian Economic Review, 50(1):25-42. Available here.
- Bandiera, Oriana, Iwan Barankay and Imran Rasul (2009), “Social Connections and Incentives in the Workplace: Evidence from Personnel Data”, Econometrica, 77(4): 1047-1094. Available here.
- Basu, K (2007), ‘Identity, Trust and Altruism: Sociological Clues to Economics Development’, Center for Analytic Economics Working Paper No. 06-05, Cornell University. Available here.
- Chandavarkar, R (1994), The origins of industrial capitalism in India: Business strategies and the working classes in Bombay 1900-1940, Cambridge University Press.
- Gneezy, Uri, Muriel Niederle and Aldo Rustichini (2003), “Performance in Competitive Environments: Gender Differences”, Quarterly Journal of Economics, 118(3):1049-74.
- Gokhale, RG (1957), The Bombay Cotton Mill Worker, Millowners' Association, Bombay.
- Hjort, Jonas (2014), “Ethnic Divisions and Production in firms”, Quarterly Journal of Economics, 129(4):1899-1946. Available here.
- Holmstrom, M (1984), Industry and Inequality: The Social Anthropology of Indian Labour, Cambridge University Press.
- Munshi, Kaivan (2014), “Community Networks and the Process of Development”, Journal of Economic Perspectives, 28(4):49-76.




















































































